Pese a que las guías no recomiendan la exposición al sol, sigue siendo habitual el consejo empírico de colocar al neonato «al sol, detrás de la ventana» para prevenir o tratar la ictericia.
MétodosSe midió la irradiancia espectral solar (350–1150nm) en días soleados y nublados. Posteriormente se interpusieron siete configuraciones de vidrio representativas de la edificación residencial. Para cada vidrio se realizaron medidas de transmisión espectral sin y con vidrio (5 y 30cm). Se analizó la irradiancia en la banda azul (≈460–490nm) y se comparó con los umbrales de fototerapia neonatal (30–65μW/cm2/nm).
ResultadosLa irradiancia solar directa alcanzó un máximo de 2,8W/m2/nm a 582nm y valores medios de aproximadamente 2,3W/m2/nm en la banda 460–490nm en días despejados, varias veces por encima del umbral de fototerapia intensiva. Incluso en días nublados, la irradiancia azul se situó claramente por encima. Tras los acristalamientos, la transmisión visible fue alta. La transmisión por debajo de 400nm no mostró una atenuación relevante y aumentó de nuevo en el infrarrojo (>750nm).
ConclusionesLos acristalamientos residenciales dejan pasar niveles muy elevados de irradiancia solar, con un espectro amplio que incluye radiación UVA e infrarroja (IR), y una irradiancia azul varias veces superior a la utilizada en fototerapia, pero sin selectividad ni control de dosis. La exposición de recién nacidos (RN) sanos a la luz solar a través de las ventanas no puede considerarse una intervención adecuada ni segura para prevenir la ictericia en países desarrollados.
Despite current guideline recommendations, the empiric recommendation to place jaundiced infants “in the sun, by the window” is commonly issued to parents to prevent or treat jaundice.
Material and methodsSpectral irradiance (350-1150nm) was measured with a spectroradiometer on sunny and cloudy days. Seven residential glazing configurations commonly used in dwellings were then interposed between the sun and the sensor. For each glass type, we obtained measurements without glass and with glass (5 and 30cm from the sensor) and calculated the relative spectral transmission. We analyzed the irradiance in the blue band (≈460-490nm) and compared it with neonatal phototherapy thresholds (30-65μW/cm2/nm).
ResultsDirect solar irradiance reached a maximum of 2.8W/m2/nm at 582nm and mean values around 2.3W/m2/nm in the 460 to 490nm band on clear days, which were several times higher than intensive phototherapy thresholds. Even on cloudy days, blue irradiance remained clearly above these thresholds. Visible light transmission through glazing elements was high. Transmission did not exhibit relevant attenuation below 400nm and increased again in the near-infrared region (>750nm).
ConclusionsTypical residential glazing elements transmit very high levels of solar irradiance, with a broad spectrum that includes UVA and infrared radiation, and blue irradiance several times higher than used in phototherapy, but without spectral selectivity or dose control. Exposing healthy newborns to sunlight through home windows cannot be considered an appropriate or safe intervention to prevent jaundice in developed countries.
La ictericia neonatal afecta a más del 50% de los recién nacidos (RN) a término y a una proporción aún mayor de los prematuros. En la mayoría de los casos se trata de una hiperbilirrubinemia no conjugada fisiológica y transitoria, sin embargo, en una minoría puede alcanzar niveles capaces de producir encefalopatía bilirrubínica aguda y kernicterus, con secuelas neurológicas graves o fallecimiento. La identificación precoz de los lactantes en riesgo y la instauración oportuna de fototerapia son esenciales para prevenir estas complicaciones1–4.
Las guías internacionales recomiendan dispositivos de fototerapia eléctrica (fluorescentes o LED azules) que proporcionen irradiancias mínimas de 30μW/cm2/nm en la banda de 460–490nm, pudiendo alcanzar hasta 65μW/cm2/nm en fototerapia intensiva1,3. La fototerapia se aplica en condiciones controladas, con espectro definido, intensidad conocida, protección ocular y monitorización de la temperatura y la hidratación.
A pesar de ello, en la práctica comunitaria sigue siendo frecuente el consejo informal de «poner al bebé al sol, cerca de la ventana» como estrategia para tratar o prevenir la ictericia, práctica no respaldada por las guías1,4. Paralelamente, en entornos de bajos recursos se han publicado ensayos que emplean luz solar filtrada mediante láminas (films) específicamente diseñadas para bloquear radiación ultravioleta (UV) e infrarroja (IR) y mantener irradiancias adecuadas de luz azul, con resultados favorables cuando se utilizan en estructuras tipo canopia, en el medio hospitalario y con monitorización estrecha5–9.
En este contexto, surge la duda de si la luz solar que atraviesa los vidrios simples o compuestos habituales de las viviendas, sin films específicos, podría aportar un espectro e irradiancia comparables a los de la fototerapia convencional.
El objetivo de este trabajo es analizar experimentalmente la irradiancia y el espectro de la luz solar antes y después de diferentes acristalamientos residenciales reales, y valorar, a la luz de estos resultados, la conveniencia o no de recomendar la exposición de neonatos sanos a la luz solar detrás de los cristales del domicilio con la intención de prevenir la ictericia.
Material y métodosDiseño del estudioEstudio experimental de campo y laboratorio, no intervencionista, desarrollado en dos fases:
- 1.
Medición de la irradiancia espectral de la luz solar directa en diferentes condiciones meteorológicas.
- 2.
Medición de la irradiancia espectral tras distintos tipos de vidrio residencial (acristalamientos C1–C7), representativos de las ventanas habituales en los domicilios.
No se incluyeron pacientes ni se utilizaron datos de historias clínicas.
Equipamiento de medidaSe empleó un espectroradiómetro portátil StellarRAD (StellarNet, USA), calibrado y trazable al National Institute of Standards and Technology (NIST). El equipamiento permite mediciones ópticas y espectrales (fig. 1).
Características principales:
- •
Rango espectral: 350–1150nm.
- •
Resolución espectral: < 1nm.
- •
Precisión en longitud de onda: < 0,25nm.
El equipo permite la medición de irradiancia espectral (W/m2/nm) para luz solar, fuentes LED y fluorescentes.
Mediciones de la irradiancia solar directaSe realizaron mediciones de la irradiancia solar en una ciudad de la Comunitat Valenciana cuyas coordenadas son: latitud: 38.9858522 y longitud: -0.1962664
- •
Un día soleado de octubre, alrededor del mediodía solar.
- •
Varios días de mayo en condiciones de cielo:
- ∘
Totalmente despejado.
- ∘
Parcialmente nublado.
- ∘
Para cada situación se registró el espectro completo de irradiancia incidente (350–1150nm).
Como referencia clínica se tuvieron en cuenta los valores de irradiancia recomendados para fototerapia neonatal1,3:
- •
Mínimo recomendado: 30μW/cm2/nm (≈0,3W/m2/nm) en 460–490nm.
- •
Valores típicos de fototerapia intensiva: hasta 65μW/cm2/nm (≈0,65W/m2/nm).
Se analizaron siete configuraciones de vidrio (C1–C7), representativas de la edificación residencial (tabla 1).
Tipos de vidrio utilizados en el estudio
| Código | Tipo / modelo | Espesor total (mm) | Tratamiento solar | Tratamiento energético | Tratamiento acústico |
|---|---|---|---|---|---|
| C1 | Doble 4(6)4 | 8 | No | No | No |
| C2 | Doble 4(6)4 | 8 | Sí | No | No |
| C3 | Laminar 4+4 | 8 | No | No | Sí |
| C4 | Simple | 8 | No | No | No |
| C5 | Simple | 6 | No | No | No |
| C6 | Simple | 6 | No | Sí | No |
| C7 | Laminar 4+4 | 8 | No | Sí | No |
Según el fabricante, y de acuerdo con la norma UNE-EN 410:2011, la transmitancia luminosa esperada se sitúa alrededor del 90% para los vidrios sin tratamientos solar/energético y en torno al 70–75% para los acristalamientos con dichos tratamientos.
Protocolo de medición a través de los vidriosPara cada configuración de vidrio:
- 1.
Se colocó el vidrio en un soporte estable entre la fuente de luz (Sol) y el sensor del espectroradiómetro.
- 2.
Se realizaron mediciones consecutivas de irradiancia espectral:
- •
Sin vidrio (referencia).
- •
Con vidrio (condición de interés).
- •
- 3.
Las mediciones con vidrio se efectuaron a dos distancias (5 y 30cm), comprobándose que no existían diferencias relevantes entre ambas, por lo que se consideraron equivalentes.
Para cada vidrio y longitud de onda λ se calculó el porcentaje de transmisión espectral10, es decir, la relación porcentual entre la luz que llega después de atravesar el vidrio Econcristlal λ y la que llega sobre el vidrio antes de atravesarlo Esin cristal λ:
Variables analizadas- •
Irradiancia espectral solar directa (W/m2/nm) en 350–1150nm.
- •
Porcentaje de transmisión espectral T(λ) de cada vidrio C1–C7.
- •
Transmisión media en bandas de interés:
- ∘
< 400nm (aproximación a UV, fundamentalmente UVA en este rango instrumental).
- ∘
400–750nm (visible), con énfasis en 460–490nm (banda fototerapéutica).
- ∘
750nm (infrarrojo cercano, proxy de carga térmica).
- ∘
- •
Comparación cualitativa de la irradiancia azul transmitida con los umbrales de fototerapia neonatal.
Irradiancia solar directa (figs. 2-3)
En el espectro solar medido en un día soleado de octubre se observó un máximo de irradiancia de aproximadamente 2,8W/m2/nm a 582nm. En la banda 460–490nm los valores se situaron claramente por encima de 0,3–0,65W/m2/nm, es decir, muy por encima de los umbrales de fototerapia intensiva.
En las mediciones realizadas en mayo:
- •
En día soleado, la irradiancia media en el intervalo 460–490nm fue de aproximadamente 2,3W/m2/nm, lo que corresponde a unas siete a ocho veces el umbral mínimo recomendado para fototerapia intensiva.
- •
En día nublado, la irradiancia en esta banda se redujo aproximadamente a la mitad, pero se mantuvo claramente superior al valor umbral clínicamente exigido.
Estos datos indican que, aun con nubosidad parcial, la luz solar disponible en exteriores proporciona irradiancias azules muy superiores a las requeridas para fototerapia convencional, siempre que la exposición y el horario sean favorables.
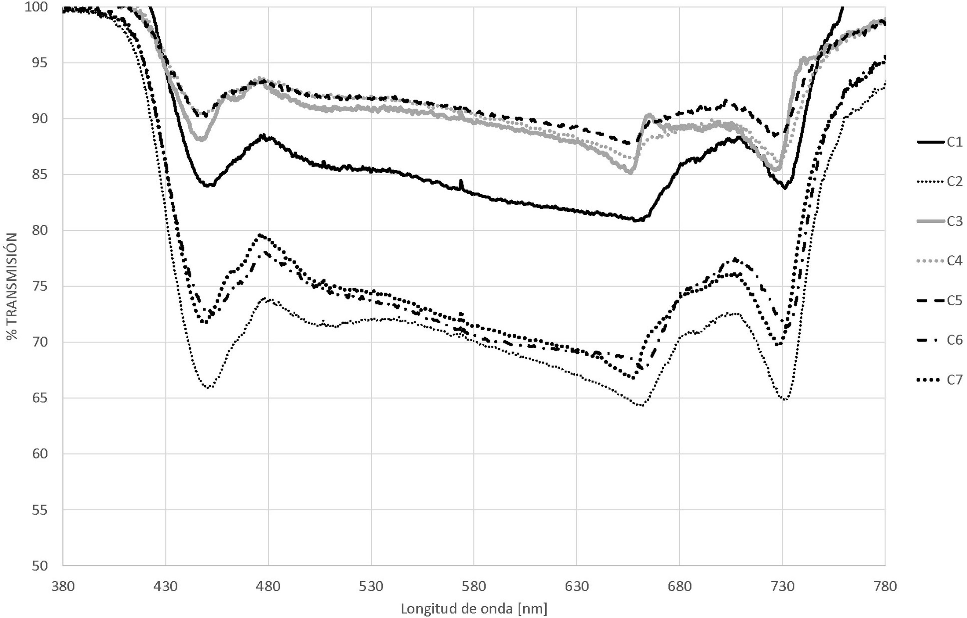
Transmisión espectral de los vidrios C1–C7En la figura 4 se muestra como ejemplo la medición en el caso del vidrio 1 (doble) y del vidrio 5 (simple). Se mide sin y con vidrio de forma correlativa. Esto permite cuantificar el porcentaje de transmisión a través del vidrio. Se han realizado medidas a 5 y 30cm del vidrio siendo los resultados muy similares.
Se puede observar que el vidrio 1 (línea inferior) bloquea mas que el vidrio 5 (simple), y ambos disminuyen la intensidad natural.
A continuación, la figura 5 muestra los resultados de transmisión de todos los tipos de vidrio.
La transmisión espectral relativa de los siete acristalamientos (C1–C7) mostró un patrón similar, con algunas diferencias cuantitativas:
- •
En el rango < 400nm, el montaje no evidenció una atenuación significativa, con transmisiones cercanas al 100% para muchos vidrios, lo que sugiere que una fracción relevante de radiación UVA puede atravesar estos acristalamientos.
- •
En el rango visible (400–750nm):
- ∘
Los vidrios simples C5 (6mm) y C4 (8mm) presentaron transmisiones medias alrededor del 90%.
- ∘
El vidrio laminar C3 (4+4mm) con tratamiento acústico mostró una transmisión muy similar, indicando que la lámina acústica tiene poca influencia en la transmisión luminosa.
- ∘
El doble acristalamiento C1 (4(6)4mm), sin tratamientos solar ni energético) se situó en torno al 85% de transmisión media.
- ∘
Los vidrios con tratamientos energético/solar (C7, C2 y C6) mostraron transmisiones algo menores, en torno al 70–72%.
- ∘
- •
En el rango > 750nm (IR cercano) se observó un aumento de la transmisión, de modo que, aunque algo menor en los vidrios con tratamientos específicos, la fracción de radiación infrarroja que atraviesa el vidrio sigue siendo importante.
Dado que la irradiancia solar directa en 460–490nm fue del orden de 2,3–2,8W/m2/nm en condiciones favorables, y que los vidrios simples y laminares sin tratamientos transmiten aproximadamente el 85–90% del visible, se estima que la irradiancia azul tras estos vidrios en días soleados de primavera/verano se sitúa en torno a 1,8–2,5W/m2/nm, es decir, varias veces por encima de los 0,3–0,65W/m2/nm utilizados en fototerapia intensiva.
Incluso en los vidrios con tratamientos solar o energético (transmisiones visibles ≈ 70–72%), la irradiancia azul resultante seguiría claramente por encima del umbral mínimo de fototerapia en las horas centrales del día.
En paralelo, la transmisión en longitudes < 400nm se mantuvo elevada en el montaje, y el componente de infrarrojo cercano fue relevante, lo que implica una carga térmica potencialmente elevada en el entorno inmediato de la ventana.
En conjunto, la luz solar que atraviesa los acristalamientos residenciales C1–C7 mantiene irradiancias muy altas en la banda azul, acompañadas de radiación UVA e infrarroja, y excede con creces las dosis utilizadas en fototerapia clínica, sin la selectividad espectral ni el control de dosis propios de los dispositivos médicos.
DiscusiónAunque la revisión Cochrane plantea que la exposición solar profiláctica podría reducir algo la frecuencia/duración de ictericia, la certeza es muy baja y sin datos sólidos de seguridad a largo plazo11.
Los resultados de este estudio experimental muestran que los acristalamientos residenciales habituales:
- 1.
Mantienen irradiancias en la banda azul (460–490nm) varias veces superiores a las requeridas para fototerapia neonatal intensiva.
- 2.
No filtran de forma relevante la radiación correspondiente a UVA ni a infrarrojo cercano.
- 3.
No permiten un control preciso de la dosis recibida, al depender esta de factores muy variables (hora del día, estación, meteorología, orientación, sombras, suciedad del cristal, distancia a la ventana y superficie cutánea expuesta).
Estos hallazgos apoyan las grandes guías1 y documentos españoles que coinciden en no recomendar usar ni sol directo ni a través de cristal como estrategia estándar para prevenir o tratar ictericia en RN de ≥ 35 semanas en países de altos recursos12–14.
Intensidad y espectro de la luz solar tras el vidrioLa alta transmisión visible (70–90%) de los vidrios estudiados implica que la luz solar que llega al interior, en momentos de máxima irradiancia, puede superar ampliamente los niveles de fototerapia. Sin embargo, a diferencia de los dispositivos de fototerapia eléctrica, la luz solar tras el vidrio no está limitada a la banda óptima de 460–490nm, sino que incluye un espectro amplio con componente UVA e IR significativa.
Desde la perspectiva de la seguridad, esta «fototerapia improvisada» plantea varios problemas15–17:
- •
Riesgo térmico: La combinación de irradiancia azul muy elevada y abundante IR puede provocar hipertermia y deshidratación, especialmente si el neonato está poco abrigado para aumentar la superficie expuesta. La variabilidad meteorológica hace que episodios de irradiancia muy alta puedan pasar inadvertidos para los cuidadores.
- •
Riesgo cutáneo y ocular: La presencia de UVA es innecesaria para el tratamiento de la hiperbilirrubinemia y se asocia a fotoenvejecimiento cutáneo y aumento de riesgo de cáncer de piel y de daño ocular a largo plazo10,14. La exposición de los ojos del neonato a niveles elevados de luz visible y UVA sin protección puede ser especialmente problemática.
- •
Riesgo organizativo: La percepción de estar «tratando» o «previniendo» la ictericia mediante la luz de la ventana puede retrasar la consulta médica o la indicación de fototerapia convencional cuando realmente está indicada, en un periodo (primeros días de vida) en el que la bilirrubina puede aumentar rápidamente1–4.
- •
Otros riesgos: deben tenerse en cuenta las posibles reacciones adversas de la fototerapia, como hemólisis, enfermedades alérgicas, daño al ADN y cáncer. Para evitar daños graves a la salud del lactante, es necesario estandarizar, racionalizar y normalizar la fototerapia en el ámbito clínico. También se requieren estudios más profundos para esclarecer el mecanismo subyacente a las reacciones adversas a la fototerapia en lactantes y para explorar y optimizar nuevos esquemas terapéuticos en el futuro.
- •
Otros riesgos prácticos: postura mantenida, supervisión deficiente, caídas si se usan sillitas/soportes cerca de ventanas, etc.
Cada año se estima que 481.000 neonatos desarrollan ictericia grave; de ellos 114.000 fallecen y más de 63.000 quedan con discapacidad neurológica permanente. Más del 75% de los casos se concentran en África subsahariana y Asia del Sur, donde el acceso a diagnóstico y tratamiento es muy limitado.
La fototerapia convencional eléctrica es el tratamiento estándar, pero en muchos países de ingresos bajos presenta problemas importantes por falta de equipos adecuados, irradiancia insuficiente por mantenimiento deficiente, suministro eléctrico inestable y costes elevados difíciles de asumir.
Por ello, en muchos contextos los RN reciben exposición directa al sol como práctica tradicional, porque no hay otra alternativa (la decisión es sol o nada) lo que conlleva riesgos de quemaduras, hipertermia o deshidratación. Algunos estudios, de hecho, consideran que una buena exposición neonatal a la luz solar se debe realizar por la mañana, entre las 8:00 y las 10:00, durante 30 a 60 minutos17.
Existen varios ensayos de fototerapia con luz solar filtrada en entornos de bajos recursos como alternativa a la fototerapia eléctrica mediante films específicos han demostrado no inferioridad en la reducción de bilirrubina y resultados clínicos seleccionados, cuando se bloquea casi toda la radiación UV y se reduce de manera importante el IR manteniendo irradiancias adecuadas de luz azul, siempre que se acompañe de monitorización estrecha de temperatura, hidratación y niveles de bilirrubina5–9,18.
Estos modelos, sin embargo, presentan diferencias fundamentales frente a la exposición doméstica tras vidrios estándar:
- •
Utilizan films seleccionados tras una detallada caracterización espectral y térmica, no el vidrio residencial habitual5,9,18.
- •
Se aplican en estructuras específicas (canopias) y en entornos hospitalarios, con supervisión continua6–8.
- •
El objetivo es tratar ictericia clínicamente significativa, no prevenir ictericia fisiológica en todos los RN sanos.
Así pues, este enfoque no debe confundirse con la exposición solar domiciliaria tras cristales: la propia lógica de la fototerapia solar filtrada (FSPT) subraya que la eficacia clínica depende del control deliberado del espectro y de la irradiancia en la banda terapéutica (azul-verde), además de la mitigación específica de riesgos térmicos y cutáneos. La evidencia sobre FSPT no avala ‘sol para la ictericia’ en el domicilio: demuestra que, si se pretende usar la luz solar con finalidad terapéutica, es imprescindible convertirla en una intervención controlada (filtrado UV/IR, preservación de la banda terapéutica, monitorización)19,20.
La exposición a luz solar a través de acristalamientos domésticos presenta una transmisión espectral y una irradiancia altamente variables según tipo de vidrio, orientación y condiciones ambientales, sin posibilidad de dosimetría ni monitorización sistemática, lo que compromete tanto la eficacia como la seguridad. Por tanto, el uso del sol tras cristales como intento de prevenir o tratar la ictericia neonatal carece de base técnica suficiente y puede retrasar intervenciones efectivas (cribado transcutáneo y fototerapia regulada), no ofrece garantías de eficacia y añade riesgos evitables. Los resultados positivos de estos ensayos de FSPT no avalan pues la recomendación de exponer a los RN sanos a la luz solar detrás de las ventanas del domicilio como medida profiláctica.
Hay que insistir en que, en el contexto de la fototerapia para hiperbilirrubinemia neonatal, la irradiancia espectral es crucial porque:
- •
La bilirrubina absorbe luz en el rango 460–490nm (espectro verde-azulado), con un pico óptimo en 478nm.
- •
No debe contener luz ultravioleta: luz UVA (320-390nm), en general por debajo de los 400nm. También conviene que no haya radiación de infrarrojos, por encima de 750nm.
- •
Para que la fototerapia sea efectiva, se requiere una irradiancia espectral mínima de 30μW/cm2/nm en ese rango con una exposición del 35–80% del cuerpo para lograr una reducción efectiva en 4–6 horas21. Además, se suele marcar un máximo en 65μW/cm2/nm (0,65 W/m2/nm).
- •
Cuanto mayor la irradiancia espectral en ese rango, más rápida es la conversión de bilirrubina en isómeros excretables22.
Las estrategias actuales de prevención del kernicterus se basan en:
- •
Cribado universal de bilirrubina antes del alta1,13.
- •
Estratificación del riesgo según edad postnatal, valor de bilirrubina y factores de riesgo1,4.
- •
Fototerapia eléctrica estándar cuando se alcanzan los umbrales establecidos1–4.
La exposición sistemática a la luz solar a través de las ventanas no forma parte de estas estrategias ni aporta un beneficio demostrado, mientras que introduce riesgos potenciales y una falsa sensación de seguridad. Los resultados de este trabajo apoyan de forma cuantitativa la recomendación de no utilizar la luz solar tras el vidrio residencial como sustituto ni complemento profiláctico de la fototerapia.
LimitacionesEste estudio presenta algunas limitaciones:
- •
El número de configuraciones de vidrio analizadas, aunque representativas, no abarca toda la diversidad de acristalamientos disponibles.
- •
Las mediciones se realizaron en un número limitado de días y condiciones; no se ha muestreado todo el año ni todas las orientaciones. No se calcularon las irradiancias espectrales transmitidas en días despejados en torno al mediodía solar de equinoccio y solsticio de verano, como escenarios de máxima irradiancia.
- •
El rango instrumental (a partir de 350nm) limita la evaluación precisa de la fracción UVB; la interpretación de la radiación UV debe hacerse con cautela.
- •
No se han incluido datos clínicos en neonatos; la extrapolación al riesgo clínico se basa en principios físicos, en los umbrales de fototerapia y en la evidencia previa sobre riesgos de radiación UV/IR y FSPT5–9.
- •
Debido a los efectos potencialmente tóxicos de la terapia de luz azul, la luz LED verde también puede utilizarse para reducir los niveles totales de bilirrubina sérica, ya que puede causar menos reacciones adversas en comparación con la luz azul. Este aspecto no se ha estudiado específicamente. Por lo tanto, la terapia de luz verde debe investigarse más exhaustivamente en el futuro23.
Pese a estas limitaciones, la magnitud de las irradiancias medidas y la alta transmisión en todo el espectro sustentan sólidamente la conclusión de que la luz solar tras el vidrio residencial no puede considerarse una fototerapia domiciliaria segura.
Conclusiones- 1.
La luz solar directa presenta irradiancias en la banda azul (460–490nm) muy superiores a las requeridas para fototerapia neonatal intensiva, incluso en condiciones de nubosidad parcial.
- 2.
Los acristalamientos residenciales habituales (simples, laminares y dobles con o sin tratamientos solar, energético o acústico) mantienen una alta transmisión de luz visible, incluida la banda fototerapéutica, y una transmisión relevante de radiación UVA e infrarroja.
- 3.
La irradiancia azul que alcanza el interior a través de estos vidrios puede superar ampliamente los umbrales clínicos de fototerapia, pero lo hace con gran variabilidad temporal y acompañada de longitudes de onda no deseadas, lo que incrementa el riesgo de hipertermia y de daño cutáneo u ocular en los neonatos.
- 4.
En ausencia de filtros espectralmente selectivos específicamente diseñados y caracterizados, y sin un sistema de monitorización profesional, la exposición de RN sanos a la luz solar detrás de los cristales del domicilio no debe ser recomendada como estrategia para prevenir la ictericia en los países desarrollados.
- 5.
Se debe recomendar explícitamente que la educación sanitaria a familias desaconseje “poner al bebé al sol tras el cristal” como sustituto del cribado/seguimiento.
Este trabajo es un estudio físico-experimental sin participación de seres humanos ni animales, por lo que no fue necesario solicitar aprobación por parte de un comité de ética de investigación.
FinanciaciónLa presente investigación ha recibido ayuda específica proveniente del programa Unisalut (https://unisalut.uji.es/) en concreto del subprograma POLISABIO, programa de cooperación UPV-FISABIO, modalidad de apoyo para el desarrollo de proyectos de innovación (pi) 2023. Proyecto: Fototerapia neonatal domiciliaria (PI2023-04).
Conflicto de interesesLos autores declaran no tener ningún conflicto de intereses en relación con el contenido de este artículo.











