La lactancia materna parece proteger la aparición de la obesidad en los lactantes. El objetivo es conocer si la duración de la lactancia materna se relaciona con el riesgo de obesidad en los lactantes de 12 y 24 meses de edad.
Material y métodosEstudio longitudinal prospectivo de una cohorte de nacidos en España entre abril de 2017 y marzo de 2018 (estudio LAyDI) en pediatría de atención primaria, dentro de la red de investigación PAPenRed. Análisis de duración de lactancia materna (Grupo 1: menos de 6 meses, grupo 2: 6 meses o más) y su relación con parámetros somatométricos.
ResultadosAcudieron a la visita de los 12 meses un total de 1.495 pacientes, y a la de los 24 meses 1.073 pacientes. Se observa una relación estadísticamente significativa entre la duración de la lactancia materna y el peso para la edad, el IMC para la edad y el peso para longitud/talla a los 12 y 24 meses, la duración de la lactancia materna menor de 6 meses se relaciona con el sobrepeso y la obesidad (según los índices IMC para la edad y el peso para la longitud/talla) de forma estadísticamente significativa a los 12 y 24 meses de edad. El IMC pregestacional materno es una variable modificadora de efecto sobre la relación entre la duración de la lactancia materna y el sobrepeso, y la obesidad (por IMC para la edad).
ConclusionesLa duración menor de 6 meses de la lactancia materna se asocia a un mayor porcentaje de sobrepeso y obesidad a los 12 y 24 meses, aunque el IMC materno pregestacional modifica esta relación a los 24 meses.
Breastfeeding appears to protect the onset of obesity in infants. The aim is to know whether breastfeeding duration of is associated with the risk of obesity in infants and toddlers aged 12 and 24 months.
Material and methodsProspective longitudinal study in a cohort of children born in Spain between April 2017 and March 2018 (LAyDI study) in the paediatric primary care system conducted in the framework of the PAPenRed research network. Analysis of breastfeeding duration (group 1: fewer than 6 months; group 2: 6 months or more) and its association with anthropometric variables.
ResultsA total of 1495 patients attended the 12 months preventive child health visit and 1073 patients the 24 months visit. We found a statistically significant association between breastfeeding duration and weight-for-age, BMI-for-age and weight-for-length/height at 12 and 24 months; breastfeeding duration of less than 6 months was significantly associated with overweight and obesity (based on BMI-for-age and weight-for-length/height) at ages 12 and 24 months. Maternal pre-pregnancy BMI acted as a modifier on the association between breastfeeding duration and overweight and obesity (based on BMI-for-age).
ConclusionsA breastfeeding duration of less than 6 months is associated with a higher percentage of overweight and obesity at ages 12 and 24 months, although maternal pre-pregnancy BMI modifies this relationship at 24 months.
La nutrición posnatal precoz es uno de los mayores determinantes del crecimiento durante la infancia. Por este motivo, el papel de la lactancia materna (LM) en el crecimiento de los lactantes a corto y medio plazo y su influencia en el desarrollo posterior ha sido evaluado en distintas investigaciones con resultados no siempre coincidentes1–4.
Es conocido que la LM promueve beneficios a corto, medio y largo plazo, tanto en países con bajos y medios ingresos, como en países con alto desarrollo económico, disminuyendo la morbimortalidad global, y favoreciendo el desarrollo físico y psíquico durante la infancia y, posiblemente, hasta la edad adulta5–7.
Una de las teorías más apasionantes en la defensa de la LM, sobre todo en los países con alto nivel de ingresos, es la que sostiene que este tipo de alimentación durante los primeros meses de vida previene la obesidad en el niño y el desarrollo de síndrome metabólico en el adulto8–11. Así, la LM se asociaría con una menor ganancia de peso en los primeros meses de vida, al compararla con la alimentación con leche de fórmula, lo que tendría importantes consecuencias positivas a medio y largo plazo.
La defensa de esta teoría se basa en el posible efecto de la LM sobre la instauración de la microbiota intestinal, en la asociación entre la propia LM y una dieta equilibrada posterior en la segunda infancia, o en el posible efecto de la leche materna sobre la regulación del apetito1,8,12–15. Sin embargo, otros autores mantienen que el efecto de la LM en la prevención de la obesidad radica sobre todo en factores socio-económicos, que pueden actuar como factores confusores en la relación lactancia y obesidad16.
El estudio Mother Infant Study Cohort (MISC) sostiene que, además del tipo de alimentación, otros aspectos maternos (como su índice de masa corporal [IMC] o su ganancia de peso durante la gestación) pueden ser claves en esta relación y tener una influencia importante en el desarrollo de malnutrición por exceso durante la infancia17–19. Sin embargo, Gayle Shipp et al.20 en una publicación muy reciente, han objetivado que la LM, independientemente del IMC materno, protege de la obesidad en la infancia.
La duración de la LM también parece ser otro factor crucial en esta relación, de forma que duraciones prolongadas de LM, ya sean exclusivas o parciales, se asocian a menores crecimientos durante la infancia, siendo este efecto mayor en las lactancias exclusivas4,11,21.
Sin embargo, no todo está tan claro. Por ejemplo, el efecto de la promoción de la LM buscando cambios en el ritmo de crecimiento y en la prevención de la obesidad a medio plazo, no parece consistente y presenta datos controvertidos2. Más aún, algunos autores dudan incluso que se pueda establecer una relación directa entre la composición corporal de los lactantes, sea cual sea su lactancia, y resultados de salud a medio y largo plazo en el futuro22.
Con la idea general de que la LM puede prevenir a medio y largo plazo complicaciones metabólicas como el desarrollo de la obesidad, el objetivo principal es asociar la duración de la LM a la condición nutricional del lactante durante los 2 primeros años de vida; así mismo analizar la asociación entre el tiempo de la lactancia y otras variables maternas (IMC, ganancia ponderal durante la gestación).
Material y métodosEstudio longitudinal prospectivo de una cohorte de nacidos entre abril de 2017 y marzo de 2018 que acuden a la consulta de pediatras de atención primaria (AP) de la red de investigación PAPenRed, denominado estudio LAyDI. PAPenRed se trata de una red de pediatras centinela orientado a la vigilancia e investigación epidemiológica que cuenta con la colaboración voluntaria de profesionales sanitarios de AP; el estudio LAyDI surge para conocer la influencia de factores socioeconómicos, culturales e individuales en el inicio y la duración de la LM.
El diseño y características del estudio LAyDI se describen pormenorizadamente en un artículo precedente23, se trata de un muestreo bietápico estratificado en todo el territorio nacional. Cada pediatra recogió 12 recién nacidos para un tamaño de muestra de 1.500 recién nacidos (para una población finita de 426.303 niños nacidos en España en 2015, con un margen de error del 2,5% con un nivel de confianza del 95%).
El criterio de inclusión fue acudir a la consulta de pediatría de AP en el periodo de estudio y para el presente estudio haber acudido a la primera y segunda visita. Se excluyeron los prematuros de menos de 37 semanas, el bajo peso al nacimiento (menor de 2.400g en niños y 2.100 en niñas), los partos múltiples, el ingreso en maternidad o neonatología durante más de 5 días, las malformaciones o enfermedad grave de los recién nacidos, los niños cuyas madres tuvieran una afectación de salud moderada a severa durante el embarazo o período puerperal, y los hijos de madres con limitación lingüística oral y escrita en español.
En el estudio LAyDI se analizaron variables relacionadas con la gestación, el parto, el período neonatal, sociales, económicas y biológicas. Se recogieron los datos en las consultas de los pediatras en: primera visita (antes de los 15 días de vida) y las sucesivas en los meses 1, 2, 4, 6, 12, 18 y 24 meses. Los datos se recogieron por el pediatra y enfermera colaboradora. Todas las medidas antropométricas se tomaron con el material homologado y calibrado de los respectivos centros de salud.
De todas las variables recogidas en el estudio LAyDI, para este artículo se tomaron las medidas antropométricas a los 12 y a los 24 meses (la longitud tomada en centímetros y el peso en gramos), y a partir de ellas se calcularon los diferentes índices antropométricos; también se extrajo del estudio LAyDI el tipo de alimentación (lactancia materna exclusiva [LME], lactancia materna no exclusiva [LMNE] y/o lactancia artificial [LA]). A partir del tipo de alimentación, se realizaron 2 grupos:
- -
Grupo 1: cualquier tipo de lactancia, pero siempre que la LM fuese menor de 6 meses (incluyendo LA, lactancia mixta y LME).
- -
Grupo 2: LM con duración de 6 meses o más (incluyendo lactancia exclusiva y lactancia mixta).
A partir de las medidas antropométricos se calculó el estado nutricional de los niños y niñas según los estándares de crecimiento de la Organización Mundial de la Salud para menores de 5 años (OMS 200624). Se calcularon las puntuaciones Z para los siguientes indicadores: el peso para la edad, el peso para la longitud, la longitud para la edad y el IMC para la edad. Se agruparon los valores Z tomando los siguientes límites: menor de −3, de −2,99 a −2, de −1,99 a +1,99, de +2 a +2,99, y mayores o iguales a +3 desviación estándar (DS).
Así mismo se individualizaron las puntaciones Z siguiendo los marcadores que propone la OMS:
- -
Emaciación o wasting: peso para talla/longitud menor de −2 DS.
- -
Retardo del crecimiento o stunting: talla/longitud menor de −2 DS.
- -
Bajo peso o underweight: peso para edad menor de −2 DS.
- -
Sobrepeso y obesidad según el IMC: IMC mayor de +2 DS.
- -
Sobrepeso y obesidad según peso para talla/longitud: peso para talla /longitud mayor de +2 DS.
También se valoró y cuantificó la opción de «tendencia a sobrepeso», tomando los valores entre +1 y +1,99 DS en los 4 parámetros analizados.
Las variables cualitativas se analizaron con porcentajes, y las cuantitativas como media y desviación estándar (DE). Las variables continuas con distribución normal se compararon mediante la t de Student. Las variables categóricas se compararon mediante la prueba Chi-cuadrado (Chi-cuadrado de tendencia) y para el estudio estratificado se utilizó el Chi-cuadrado de Mantel-Haenszel. Los análisis se han realizado con el paquete estadístico SPSS® v.21 (IBM SPSS Statistics software) y se ha considerado un valor p significativo cuando es <0,05.
ResultadosDescripción global de los resultados de la serieSe obtuvo una muestra total de 1.946 niños. Al mes de vida, el 84,9% estaban con LM (LME: 62,3% y LMNE: 22,6%), disminuyendo al 71,7% a los 4 meses (LME: 52,7% y LMNE: 19%) y al 61,7% a los 6 meses de edad (LME: 35,2% y LMNE: 26,5%). A los 12 meses continuaban con LM el 40,1% y a los 24 meses el 22,3%.
En la tabla 1 se pueden leer las características generales de la serie analizada, así como la comparación de los 2 grupos a estudio (Grupos 1 y 2). Se obtienen diferencias estadísticamente significativas en el IMC pregestacional materno (mayor IMC en el Grupo 1) y asociación estadísticamente significativa con el entorno urbano/rural/mixto (más entorno urbano en Grupo 2).
Descripción global de la serie y comparación de variables maternas y neonatales en los dos grupos a estudio
| Toda la serie(n=1946) | Grupo 1LM menos de 6 meses(n=997) | Grupo 2LM de 6 meses o más(n=949) | Comparación menos o más de 6 meses de LMValor de p | |
|---|---|---|---|---|
| Neonato, mujer | 49,9% | 50,8% | 49,3% | 0,52* |
| IMC, pregestacional materno | 24,28±4,78 | 24,7±5,06 | 23,8±4,43 | <0,001** |
| IMC, pregestacional mayor de 25 | 31% | 35,5% | 26,2% | <0,001* |
| Aumento de peso en el embarazo (kg) | 12,23±5,04 | 12,35±5,33 | 12,10±4,72 | 0,26** |
| Aumento de peso durante el embarazo mayor de 15kg | 28,6% | 29,4% | 27,7% | 0,38* |
| Edad gestacional | 39,3±1,13 | 39,3±1,13 | 39,4±1,13 | 0,06** |
| Peso recién nacido (kg) | 3,30±0,39 | 3,30±0,39 | 3,31±0,39 | 0,54** |
| Entorno vivienda: | ||||
| Urbano | 73,7% | 71,4% | 76,2% | 0,01* |
| Rural | 21,7% | 24,3% | 19% | |
| Mixto | 4,6% | 4,3% | 4,8% | |
| Tipo de parto | ||||
| Eutócico | 68,5% | 67,3% | 70,4% | 0,31* |
| Instrumental | 12,8% | 13,7% | 12% | |
| Cesárea | 18,3% | 19% | 17,7% |
IMC: índice de masa corporal; LM: lactancia materna.
De toda la serie inicial, acudieron a la visita del año 1.495 pacientes, y a la de los 2 años 1.073 pacientes. De los que acudieron a la visita del año de vida, el 44,3% habían estado con LM menos de 6 meses (Grupo 1) y el 55,7% había estado con LM 6 o más meses (Grupo 2). De los que completaron la visita de los 2 años, el 44,9% pertenecía al grupo 1 y el 55,1% al Grupo 2.
En la tabla 2 se puede leer detenidamente la distribución en los 4 parámetros estudiados (peso para edad, IMC para edad, peso para longitud/talla y longitud/talla para edad) a los 12 y 24 meses, y en la tabla 3 la evolución de los valores Z entre los 12 y los 24 meses.
Categorías nutricionales de los participantes según los estándares de la OMS a los 12 y 24 meses
| 12 meses | 24 meses | |
|---|---|---|
| Peso para la edad (%) | ||
| Número total | 1.495 | 1.073 |
| ≤−3 DS | 1 (0,1%) | 1 (0,1%) |
| De −2,99 a −2 DS | 16 (1,1%) | 9 (0,8%) |
| De −1,99 a −1 DS | 148 (9,9%) | 109 (10,2%) |
| De −0,99 a +0,99 DS | 1.077 (72%) | 750 (69,9%) |
| De +1 a +1,99 DS | 213 (14,2%) | 167 (15,6%) |
| De +2 a +2,99 DS | 34 (2,3%) | 32 (3%) |
| ≥3 DS | 6 (0,4%) | 5 (0,5%) |
| IMC para la edad (%) | ||
| Número total | 1.492 | 1.073 |
| ≤−3 DS | 2 (0,1%) | 4 (0,4%) |
| De −2,99 a −2 DS | 13 (0,9%) | 18 (1,7%) |
| De −1,99 a −1 DS | 149 (10%) | 125 (11,6%) |
| De −0,99 a +0,99 DS | 1.020 (68,4%) | 711 (66,3%) |
| De +1 a +1,99 DS | 258 (17,3%) | 160 (14,9%) |
| De +2 a +2,99 DS | 42 (2,8%) | 40 (3,7%) |
| ≥3 DS | 8 (0,5%) | 15 (1,4%) |
| Peso para longitud/talla (%) | ||
| Número total | 1.493 | 1.073 |
| ≤−3 DS | 1 (0,1%) | 3 (0,3) |
| De −2,99 a −2 DS | 13 (0,9%) | 11 (1%) |
| De −1,99 a −1 DS | 146 (9,8%) | 130 (12,1%) |
| De −0,99 a +0,99 DS | 1.042 (69,8%) | 727 (67,8%) |
| De +1 a +1,99 DS | 237 (15,9%) | 158 (14,7%) |
| De +2 a +2,99 DS | 46 (3,1%) | 30 (2,8%) |
| ≥3 DS | 8 (0,5%) | 14 (,3%) |
| Talla/longitud para la edad (%) | ||
| Número total | 1.490 | 1.073 |
| ≤−3 DS | 9 (0,6%) | 8 (0,7%) |
| De −2,99 a −2 DS | 40 (2,7%) | 23 (2,1%) |
| De −1,99 a −1 DS | 197 (13,2%) | 132 (12,3%) |
| De −0,99 a +0,99 DS | 1.017 (68,2%) | 712 (66,4%) |
| De +1 a +1,99 DS | 192 (12,9%) | 167 (15,5%) |
| De +2 a +2,99 DS | 35 (2,3%) | 28 (2,6%) |
| ≥3 DS | 2 (0,1%) | 4 (0,4%) |
DS: desviación estándar; IMC: índice de masa corporal; OMS: Organización Mundial de la Salud.
Evolución valores Z de cada marcador nutricional a los 12 y a los 24 meses
| 12 meses | 24 meses | Valor de p | |
|---|---|---|---|
| Peso para la edad | |||
| Número casos analizados | 1.495 | 1.073 | |
| Media (IC 95%) | 0,12 (0,07 a 0,17) | 0,17 (0,11 a 0,23) | 0,008 |
| Mediana (RIQ) | 0,10 (1,24) | 0,22 (1,30) | |
| DS | 0,95 | 0,96 | |
| IMC (%) | |||
| Número casos analizados | 1.492 | 1.073 | |
| Media (IC 95%) | 0,20 (0,15 a 0,25) | 0,14 (0,07 a 0,21) | 0,020 |
| Mediana (RIQ) | 0,19 (1,31) | 0,14 (1,40) | |
| DS | 0,99 | 1,10 | |
| Peso para longitud/talla (%) | |||
| Número casos analizados | 1.493 | 1.073 | |
| Media (IC 95%) | 0,20 (0,15 a 0,25) | 0,12 (0,05 a 0,18) | 0,001 |
| Mediana (RIQ) | 0,18 (1,31) | 0,10 (1,37) | |
| DS | 0,97 | 1,05 | |
| Talla/longitud para la edad (%) | |||
| Número casos analizados | 1.490 | 1.073 | |
| Media (IC 95%) | −0,04 (−0,10 a 0,01) | 0,10 (0,03 a 0,16) | <0,001 |
| Mediana (RIQ) | −0,03 (1,41) | 0,12 (1,41) | |
| DS | 1,09 | 1,06 | |
Comparación de medias dependientes.
DS: desviación estándar; IC 95%: intervalo de confianza del 95%; IMC: índice de masa corporal; RIQ: rango intercuartílico.
Respecto a los marcadores de la OMS por defecto, a los 12 meses se objetivó «wasting» (peso para la longitud/talla menor de -2 DS) en el 1% de la serie, «stunting» (longitud/talla menor de –2 DS) en el 3,2% y «underweight» (peso para edad menor de –2 DS) en el 1,2%. A los 24 meses, estos 3 valores fueron de 1,3, 2,8 y 0,9%, respectivamente.
Respecto a los marcadores de la OMS por exceso, a los 12 meses, sobrepeso y obesidad según el IMC para la edad (IMC para la edad mayor de +2 DS) en el 3,3% de la serie, y sobrepeso y obesidad según peso para longitud/talla (peso para longitud/talla mayor de +2 DS) del 3,6%. A los 24 meses, estos 3 valores fueron del 5,1 y del 4,1%, respectivamente.
En cuanto a «tendencia a sobrepeso», se obtiene a los 12 meses un 14,2% según el peso para la edad, un 17,3% según el IMC para la edad, un 15,9% según el peso para la longitud/talla y un 12,9% según la longitud/talla para la edad. A los 24 meses los valores fueron 15,6, 14,9, 14,7 y 15,5%, respectivamente.
Relación entre el tiempo total de LM (menor y mayor de 6 meses) y los índices antropométricos a los 12 y 24 meses.A los 12 meses existe asociación estadísticamente significativa entre los 4 índices antropométricos analizados y el tiempo total de LM (tabla 4); en todos ellos, existe una tendencia a valores más elevados en el Grupo 1 respecto al Grupo 2.
Influencia de la LM mayor o menor de 6 meses a los 12 meses para los distintos parámetros somatométricos estudiados con los nuevos cortes por DS
| Grupo 1Menos de 6 meses | Grupo 2Más de 6 meses | Valor de p* | |
|---|---|---|---|
| Peso para la edad | |||
| Número total | 661 | 834 | <0,001 |
| ≤−3 DS | 1 (0,2%) | 0 (0%) | |
| De −2,99 a −2 DS | 5 (0,8%) | 11 (1,3%) | |
| De −1,99 a −1 DS | 58 (8,8%) | 90 (10,8%) | |
| De −0,99 a +0,99 DS | 441 (66,7%) | 636 (76,3%) | |
| De +1 a +1,99 DS | 133 (20,1%) | 80 (9,6%) | |
| De +2 a +2,99 DS | 21 (3,2%) | 13 (1,6%) | |
| ≥3 DS | 2 (0,3%) | 4 (0,5%) | |
| IMC (%) | |||
| Número total | 659 | 833 | <0,001 |
| ≤−3 DS | 1 (0,2%) | 1 (0,1%) | |
| De −2,99 a −2 DS | 8 (1,2%) | 5 (0,6%) | |
| De −1,99 a −1 DS | 52 (7,9%) | 97 (11,6%) | |
| De −0,99 a +0,99 DS | 428 (64,9%) | 592 (71,1%) | |
| De +1 a +1,99 DS | 135 (20,5%) | 123 (14,8%) | |
| De +2 a +2,99 DS | 30 (4,6%) | 12 (1,4%) | |
| ≥3 DS | 5 (0,8%) | 3 (0,4%) | |
| Peso para longitud/talla (%) | |||
| Número total | 660 | 833 | <0,001 |
| ≤−3 DS | 1 (0,2%) | 0 (0%) | |
| De −2,99 a −2 DS | 3 (0,5%) | 10 (1,2%) | |
| De −1,99 a −1 DS | 55 (8,3%) | 91 (10,9%) | |
| De −0,99 a +0,99 DS | 430 (65,2%) | 612 (73,5%) | |
| De +1 a +1,99 DS | 137 (20,8%) | 100 (12%) | |
| De +2 a +2,99 DS | 29 (4,4%) | 17 (2%) | |
| ≥3 DS | 5 (0,8%) | 3 (0,4%) | |
| Talla/longitud para la edad (%) | |||
| Número total | 659 | 833 | 0,007 |
| ≤−3 DS | 5 (0,8%) | 4 (0,5%) | |
| De −2,99 a −2 DS | 11 (1,7%) | 29 (3,5%) | |
| De −1,99 a −1 DS | 81 (12,3%) | 116 (13,9%) | |
| De −0,99 a +0,99 DS | 442 (67,1%) | 575 (69%) | |
| De +1 a +1,99 DS | 101 (15,3%) | 91 (10,9%) | |
| De +2 a +2,99 DS | 18 (2,7%) | 17 (2%) | |
| ≥3 DS | 1 (0,2%) | 1 (0,1%) | |
DS: desviación estándar; IC 95%: intervalo de confianza del 95%; LM: lactancia materna.
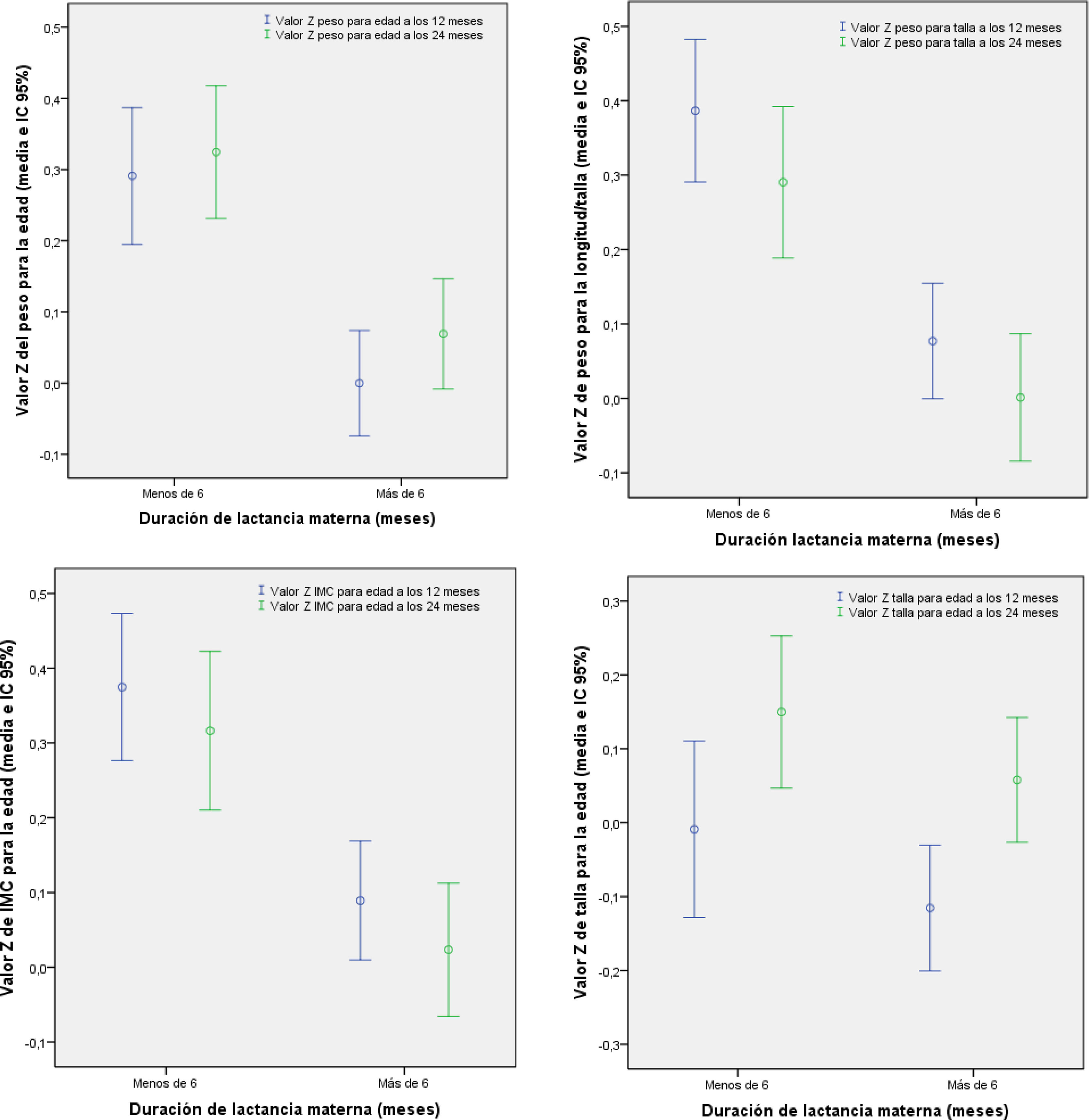
A los 24 meses de edad se observa una asociación estadísticamente significativa entre el tiempo total de LM y el peso para la edad, el IMC para la edad y peso para longitud/talla, pero no para la longitud/talla para la edad (tabla 5). La tendencia encontrada es del mismo sentido que a los 12 meses: valores más elevados para el Grupo 1 que para el Grupo 2. La figura 1 refleja la evolución de los valores Z a los 12 y a los 24 meses para los 4 parámetros analizados, según la duración de la LM.
Influencia de la LM mayor o menor de 6 meses a los 24 meses para los distintos parámetros somatométricos estudiados con los nuevos cortes por DS
| Grupo 1Menos de 6 meses | Grupo 2Más de 6 meses | Valor de p* | |
|---|---|---|---|
| Peso para la edad | |||
| Número total | 481 | 592 | |
| ≤−3 DS | 0 (0%) | 1 (0,2%) | <0,001 |
| De −2,99 a −2 DS | 4 (0,8%) | 5 (0,8%) | |
| De −1,99 a −1 DS | 41 (8,5%) | 68 (11,5%) | |
| De −0,99 a +0,99 DS | 314 (65,3%) | 436 (73,6%) | |
| De +1 a +1,99 DS | 97 (20,2%) | 70 (11,8%) | |
| De +2 a +2,99 DS | 23 (4,8%) | 9 (1,5%) | |
| ≥3 DS | 2 (0,4%) | 3 (0,5%) | |
| IMC (%) | |||
| Número total | 481 | 529 | |
| ≤−3 DS | 2 (0,4%) | 2 (0,3%) | <0,001 |
| De −2,99 a −2 DS | 5 (1,0%) | 13 (2,2%) | |
| De −1,99 a −1 DS | 42 (8,7%) | 83 (14%) | |
| De −0,99 a +0,99 DS | 311 (64,7%) | 400 (67,6%) | |
| De +1 a +1,99 DS | 85 (17,7%) | 75 (12,7%) | |
| De +2 a +2,99 DS | 27 (5,6%) | 13 (2,2%) | |
| ≥3 DS | 9 (1,9%) | 6 (1,0%) | |
| Peso para longitud/talla (%) | |||
| Número total | 481 | 593 | |
| ≤−3 DS | 2 (0,4%) | 1 (0,2%) | <0,001 |
| De −2,99 a −2 DS | 3 (0,6%) | 8 (1,4%) | |
| De −1,99 a −1 DS | 47 (9,8%) | 83 (14%) | |
| De −0,99 a +0,99 DS | 314 (65,3%) | 413 (69,8%) | |
| De +1 a +1,99 DS | 87 (18,1%) | 71 (12%) | |
| De +2 a +2,99 DS | 20 (4,2%) | 10 (1,7%) | |
| ≥3 DS | 8 (1,7%) | 6 (1%) | |
| Talla/longitud para la edad (%) | |||
| Número total | 481 | 592 | 0,129 |
| ≤−3 DS | 5 (1%) | 3 (0,5%) | |
| De −2,99 a −2 DS | 9 (1,9%) | 14 (2,4%) | |
| De −1,99 a −1 DS | 56 (11,6%) | 76 (12,8%) | |
| De −0,99 a +0,99 DS | 311 (64,7%) | 401 (67,7%) | |
| De +1 a +1,99 DS | 82 (17%) | 84 (14,2%) | |
| De +2 a +2,99 DS | 14 (2,9%) | 14 (2,4%) | |
| ≥3 DS | 4 (0,8%) | 0 (0%) | |
DS: desviación estándar; IMC: índice de masa corporal; LM: lactancia materna.
La tabla 6 refleja la influencia de la duración de la LM sobre los indicadores de la OMS, se obtiene una relación estadísticamente significativa, tanto a los 12 meses como a los 24 meses, entre la duración de LM menor de 6 meses y un mayor porcentaje de sobrepeso (según el IMC para la edad y el peso para la talla/longitud).
Marcadores de la OMS para las alteraciones nutricionales por defecto y por exceso para la LM menor o mayor de 6 meses, a los 12 y 24 meses
| Grupo 1: menos de 6 meses de LM | Grupo 2: más de 6 meses de LM | Valor de p | |
|---|---|---|---|
| A los 12 meses | |||
| Emaciación (Wasting=peso/longitud para talla <−2 DS) | 0,6% | 1,2% | 0,237 |
| Retardo del crecimiento (Stunting=talla/longitud <−2 DS) | 2,4% | 4,0% | 0,099 |
| Bajo peso (Underweight=peso para edad <−2 DS) | 0,9% | 1,3% | 0,456 |
| Sobrepeso y obesidad según IMC (IMC mayor de +2 DS) | 5,3% | 1,8% | <0,001 |
| Sobrepeso y obesidad según peso para talla/longitud (peso para talla /longitud mayor de +2 DS) | 5,2% | 2,4% | 0,005 |
| A los 24 meses | |||
| Emaciación (Wasting=peso/longitud para talla <−2 DS) | 1,0% | 1,5% | 0,490 |
| Retardo del crecimiento (Stunting=talla/longitud <−2 DS) | 2,9% | 2,9% | 0,970 |
| Bajo peso (Underweight=peso para edad <−2 DS) | 0,8% | 1.0% | 0,758 |
| Sobrepeso y obesidad según IMC (IMC mayor de +2 DS) | 7,5% | 3,2% | 0,002 |
| Sobrepeso y obesidad según peso para talla/longitud (peso para talla/longitud mayor de +2 DS) | 5,8% | 2,7% | 0,010 |
DS: desviación estándar; IMC: índice de masa corporal; LM: lactancia materna; OMS: Organización Mundial de la Salud.
La tabla 7 refleja la asociación estadísticamente significativa entre la duración de la LM y la «tendencia al sobrepeso» a los 12 y a los 24 meses, observándose un porcentaje más elevado en el Grupo 1 respecto al Grupo 2.
Tendencia a sobrepeso (DS entre +1 y +1,99 DS) a los 12 y 24 meses según duración de la LM
| Menos de 6 meses de LM | Más de 6 meses de LM | Valor de p* | |
|---|---|---|---|
| A los 12 meses | |||
| Para el peso para la edad | 20,1% | 9,6% | <0,001 |
| Para IMC | 20,5% | 14,8% | 0,004 |
| Para el peso para la talla | 20,8% | 12% | <0,001 |
| Para la talla para la edad | 15,3% | 10,9% | 0,012 |
| A los 24 meses | |||
| Para el peso para la edad | 20,2% | 11,8% | <0,001 |
| ara IMC | 17,7% | 12,7% | 0,022 |
| Para el peso para la talla | 18,1% | 12,0% | 0,005 |
| Para la talla para la edad | 17% | 14,2% | 0,198 |
DS: desviación estándar; IMC: índice de masa corporal; LM: lactancia materna.
En la serie, el IMC pregestacional materno fue diferente entre el Grupo 1 y el Grupo 2 (tabla 1), lo que hizo que se valorase su influencia en la condición nutricional como factor confusor o como factor de interacción entre la relación de la duración de la LM.
Para valorar este efecto se realiza un análisis estratificado de la relación de la duración de la LM (menos o más de 6 meses) con la clasificación de sobrepeso u obesidad según el IMC para la edad (mayor o igual a +2 DS), estratificando el IMC materno pregestacional en mayor o menor de 25. Se obtiene que para un IMC pregestacional menor de 25, la relación continúa siendo significativa (OR: 2,9; IC 95%: 1,3-6,6; p 0,006), pero para un IMC pregestacional mayor de 25 esta relación desaparece (OR: 1,8; IC 95%: 0,8-4,2; p=0,1439 (Chi-cuadrado de Mantel-Haenszel: 0,005); así, el IMC materno pregestacional modifica esta relación, siendo una variable de interacción.
DiscusiónLas recomendaciones oficiales de la OMS y de todas las asociaciones científicas en relación con la LM son muy claras, a pesar de lo cual las cifras actuales no alcanzan lo aconsejado25. Entre las muchas consecuencias de la escasa adherencia a la LM, sobre todo en la sociedad occidental, parece estar la obesidad y el síndrome metabólico en el futuro de estos niños. El abandono precoz o la ausencia de LM podría estar relacionada con un aumento en el peso de los lactantes en los primeros meses de vida y sus consecuencias en la infancia posterior y, por ende, en la vida adulta6,26–28.
El sobrepeso en la edad infantil es un problema creciente en todos los países, pero en el estudio realizado por Rito et al.29 en 22 países se objetiva que el mayor porcentaje de obesidad de dichos estados ocurre en España, con un 17,7%. Sin duda, el problema y sus consecuencias en la salud pública parecen de una gravedad importante.
El presente estudio muestra una relación clara entre la LM menor de 6 meses, sea cual sea su formato, y la tendencia a un mayor crecimiento a los 12 y 24 meses de edad, analizando distintos parámetros somatométricos.
Globalmente, los 4 parámetros analizados muestran una población ajustada de forma clara a la distribución normal. Se trata de una cohorte de niños y niñas sanas, cuidados y alimentados en una sociedad occidental con una buena cobertura sanitaria. Los marcadores nutricionales por defecto de la OMS muestran porcentajes muy bajos, aunque los marcadores por exceso presentan cifras algo más altas.
El seguimiento de una cohorte como esta permite analizar cómo el tipo de lactancia y su duración puede influir en estos registros somatométricos. Así, se ha dividido la cohorte en 2 grupos, según fuese la duración de la LM menor o mayor a 6 meses, obteniendo una clara tendencia: si la LM es menor de 6 meses, se obtienen mayores porcentajes de parámetros de crecimiento elevados, tanto a los 12 como a los 24 meses. Y esta tendencia se demuestra objetivamente al analizar los porcentajes de casos etiquetados por la OMS como sobrepeso y obesidad, y también al separar la categoría de «tendencia al sobrepeso», llamando a estos los que están entre +1 y +1,99 DS.
Como ya se comentó en la introducción, existen ya muchos estudios internacionales que relacionan la ausencia o escasa duración de la LM con el sobrepeso y la obesidad durante los primeros años de vida30–32. Ma et al. confirman en su estudio que la LM puede ser un factor protector para la obesidad y la grasa corporal alta en niños de 9 a 11 años de 12 países29 y en un metaanálisis realizado por Ma et al., tras analizar 26 publicaciones con más de 300.000 participantes, concluyen que la LM está inversamente asociada con un riesgo de obesidad temprana en niños de 2 a 6 años existiendo un efecto dosis-respuesta entre la duración de la LM y la reducción del riesgo de obesidad en la primera infancia32. En este estudio, uno de los primeros realizados en España en este sentido, se corroboran estas ideas, analizando las visitas al año y a los 2 años y comparando los 4 índices antropométricos clásicos en los 2 grupos que se han realizado según el tiempo de LM (mayor o menor de 6 meses).
En se pudo comprobar en este estudio que el estado nutricional materno pregestacional (medido a través del IMC) modifica la interacción entre la duración de la LM y el sobrepeso u obesidad (según el IMC) a los 24 meses, siendo este IMC pregestacional materno una variable a tener en cuenta también en esta relación, tal como señalan otros autores18,20,33.
ConclusionesEn esta serie multicéntrica nacional, realizada en el contexto de la pediatría de atención primaria, en un estudio prospectivo, la duración menor de 6 meses de la LM se asocia a un mayor porcentaje de sobrepeso y obesidad a los 12 y 24 meses, aunque existen también otros factores como la obesidad materna que pudieran interferir en esta relación.
Consideraciones éticasEl proyecto PAPenRED obtuvo la aprobación del Comité de Ética e Investigación Científica de Aragón (Dictamen Favorable, Acta n° 19/2013; C.P.-C.I. PI13/00154) y el presente estudio ha sido aprobado por el Comité de Ética de Investigación del Principado de Asturias (estudio n° 213/16). Cuenta, así mismo, con el Informe favorable de la Comisión Central de Investigación del Servicio Madrileño de Salud (23 de febrero de 2017). El consentimiento informado era firmado por la madre en la primera consulta realizada a los 15 días de vida. Cada uno de los niños contaba con código propio para su correcta anonimización.
FinanciaciónEl estudio LAYDI recibió una de las becas de investigación otorgadas por la Asociación Española de Pediatría de Atención Primaria-Fundación Pediatría y Salud (AEPap-FPS) en la convocatoria de 2017.
Conflicto de interesesLos autores han declarado no presentar conflictos de intereses en relación con la preparación y publicación de este artículo.












