The six-minute walk test is a stress test that provides information about exercise tolerance in chronic diseases. The aim of the study was to develop reference equations with normal values for the test in healthy children aged 6–12 years in our paediatric reference population.
Patients and methodsThe six-minute walk test was carried out in a sample of 236 healthy children, analyzing pre- and post-test variables, and we developed reference equations selecting variables that turned out to be significant (P < .05).
ResultsThe pre- and post-test values, respectively, were 97.82% (SD, 0.64) vs 97.82% (SD, 0.59) for oxygen saturation; 96.59 bpm (SD, 16.11) vs 131.89 bmp (SD, 22.64) for the heart rate; 0.52 (SD, 0.83) vs 3.01 (SD, 2.42) for the degree of dyspnea (Borg scale) and 0.68 (SD, 0.98) vs 2.95 (SD, 2.26) for the degree of lower extremities fatigue (Borg scale). The average distance walked was 668.03 m (SD, 87.36) (671.42 m in boys [SD, 92.2] vs 664.22 m in girls [SD, 81.81]). We fitted predictive equations that included the variables age, height and difference between baseline and final heart rate. We also generated percentile charts of the distance walked for height.
ConclusionsAge, height, regular physical activity and obesity had an impact on test results. Obtaining reference values for the 6-min walk test in healthy children is necessary for its application in clinical practice.
El test de la marcha de 6 minutos es una prueba de esfuerzo que determina la tolerancia al ejercicio en enfermedades crónicas. El objetivo del estudio es elaborar ecuaciones de normalidad de niños sanos de 6 a 12 años para esta prueba en nuestra población infantil de referencia.
Pacientes y métodosSe realizó el test de la marcha de 6 minutos en una muestra de 236 niños analizando diferentes variables pre- y postprueba, y se elaboraron ecuaciones de referencia seleccionando aquellas variables significativas (p < 0,05).
ResultadosLos valores pre- y postprueba, respectivamente, de saturación de oxígeno fueron 97,82% ±0,64 y 97,82% ±0,59; de la frecuencia cardiaca 96,59 latidos por minuto ±16,11 y 131,89 latidos por minuto ±22,64; del grado de disnea (escala de Borg) 0,52 ± 0,83 y 3,01 ± 2,42, y del grado de fatiga de extremidades inferiores (escala de Borg) 0,68 ± 0,98 y 2,95 ± 2,26. La media de distancia recorrida fue de 668,03 metros ±87,36 (varones 671,42 metros ±92,2 Vs mujeres 664,22 metros ±81,81). Se obtuvieron ecuaciones predictivas con las variables edad, talla y diferencia entre frecuencia cardíaca basal y final. Se crearon gráficas de percentiles de la distancia recorrida en función de la talla.
ConclusionesLa edad, la talla, la práctica regular de ejercicio físico y la obesidad influyen en los resultados. La obtención de valores de referencia del test de la marcha de 6 minutos en niños sanos es necesaria para su utilización en la práctica clínica.
The six-minute walk test (6MWT) submaximal cardiorespiratory exercise test whose goal is to measure the maximum distance an individual can walk over 6 min, walking as fast as possible without breaking into a run.1,2 It is a safe, well-tolerated and easy test.1,3,4 It is also inexpensive and has the advantage that it reflects better than other tests the capacity to perform daily living activities and, therefore, the limitations of the subject of the test.1,3,4 It can be performed in healthy individuals to assess fitness or in individuals with various cardiorespiratory diseases to assess treatment response.1–4
More than 20 studies have been published that provide reference equations for the 6MWT for children in different populations throughout the world.5 In general, the predictors associated most strongly to the walked distance are age, height and the difference between the baseline and final heart rate (HR) in the test.6–14 Other variables, such as weight, have also been considered in some studies,7–14 with some even considering aspects like lower limb (LL) length.9,11
There are significant differences between the published reference equations due to the heterogeneity of the methodology used in different studies and the factors that affect lung capacity in the populations under study (environmental, anthropometric15–17 and lifestyle factors). For this reason, the aim of our study was to develop reference equations and percentile curves for the 6MWT in the paediatric population of Zaragoza (Spain).
Patients and methodsWe conducted a cross-sectional observational and descriptive study with the aim of establishing reference values for 6MWT results in healthy Caucasian children in our catchment population/geographical area (Zaragoza, Spain), expressed as percentiles in the walked distance measured in metres. The study was approved by the Clinical Research Ethics Committee of Aragón (CEICA). All participants were enrolled in schools in the city of Zaragoza (Spain) and recruited through the distribution of an informational sheet addressed to the parents and principals of each centre, accompanied by a health questionnaire to be filled out by parents to identify potential health conditions in the children and recording the frequency of physical activity and the informed consent form. The test was performed following the protocol published by the American Thoracic Society4 in a hallway measuring 30 m in each school, placing markers every 3 m. Before performing the test, measurements were taken of the weight (kg), height and lower extremity length (cm), HR (bpm), oxygen saturation (%SatO2) and the degrees of dyspnoea and of leg fatigue (Borg scale18 modified for children, score range 0–10). In addition to measuring the LL length, we calculated the relative length of the lower limb (RLLL) using the formula developed by Vallois15: lower limb (cm) × 100/stature (cm). Based on the results, we classified participants as: (1) brachyskelic (individual with short LLs) with a RLLL of 54.9 or less, (2) metrioskelic (medium LLs) with a RLLL from 55 to 56.9, or macroskelic (long LLs) with a RLLL of 57 or greater. At the end of the test, the HR, %SatO2, degree of dyspnoea, degree of LL fatigue, intensity of exertion in the test (% of final HR in relation to the estimated maximal value: final HR × 100/predicted maximal HR) and distance walked in metres.
The database, data collection form and tables and charts for the study were developed with the spreadsheet editor Microsoft Excel 2016 (Microsoft Corporation, Redmond, WA, USA.) and the statistical package SPSS version 23.0 for Windows (IBM Corporation, Released 2015, IBM SPSS Statistics for Windows, version 23.0, Armonk, NY, USA.). To carry out the analysis, we used the software R 4.0 R Core Team (2021) (R: A language and environment for statistical computing; R Foundation for Statistical Computing, Vienna, Austria). We assessed the normality of quantitative data with the Shapiro-Wilks test. To assess the association between factors, we used hypothesis testing. If both factors were categorical, we used the χ2 test if the necessary conditions were met, and the Fisher exact test otherwise. To compare means in independent groups we used the Mann-Whitney U test, ANOVA or Student t test, as applicable based on the distribution. To assess the association between two quantitative variables, we calculated the Spearman correlation coefficient and carried out the corresponding correlation test. To assess the association between the total walked distance in metres and a subset of independent variables, we fit multivariate logistic regression models.
We completed the analysis by generating percentile charts for the total sample and for each sex to establish reference values for the 6MWT for height, using the GAMLSS package (Generalized additive models for location, scale and shape, Rigby RA and Stasinopoulos DM, 2005). In the statistical analysis, statistical significant was defined as a P value of less than 0.05. The sample was divided into 4 age groups (>6 to ≤8 years, >8 to ≤10 years, >10 to ≤12 years and >12 years) to facilitate the analysis of the result, study which age range was most frequent and evaluate changes in performance.
ResultsA total of 286 children underwent testing from September 2018 through May 2019. We excluded 50 participants from the final analysis on account of the exclusion criteria (preterm birth, not Caucasian, chronic disease, recurrent wheezing or asthma), so the final sample included 236 individuals (125 male and 111 female). Table 1 presents the mean age and anthropometric characteristics of the entire sample and by sex.
Mean age and anthropometric values in the total sample and by sex.
| Variables | Total | Male | Female | 
|---|---|---|---|
| n = 236(mean ± SD) | n = 125(mean ± SD) | n = 111(mean ± SD) | |
| Age (years) | 9.05 ± 1.78 | 9.10 ± 1.89 | 9.00 ± 1.65 | 
| Weight (kg) | 34.69 ± 10.94 | 35.04 ± 11.32 | 34.30 ± 10.53 | 
| Height (cm) | 135.30 ± 11.68 | 135.54 ± 11.69 | 135.03 ± 11.72 | 
| BMI (kg/m2) | 18.52 ± 3.20 | 18.62 ± 3.25 | 18.40 ± 3.16 | 
| Lower limb length (cm) | 76.72 ± 7.16 | 76.09 ± 7.14 | 77.42 ± 7.15 | 
| RLLL | 56.68 ± 1.51 | 56.12 ± 1.30 | 57.33 ± 1.48 | 
BMI, body mass index; RLLL, relative length of the lower limb; SD, standard deviation.
The mean age was 9.05 years (SD, 1.78), and the largest group was the one aged 6–8 years in participants of both sexes, amounting to 37.29% of the sample. The mean weight was 34.69 kg (SD, 10.94); the mean height 135.30 cm (SD, 11.68) and the mean body mass index (BMI) 18.52 kg/m2 (SD, 3.20). We found statistically significant differences between male and female participants in the RLLL (P < .001), with a predominance of the macroskelic type in girls and the metrioskelic type in boys. We did not find statistically significant differences in the intensity of exertion between participants who engaged in physical activity in their free time and participants who did not (62.66% [SD, 11.25] vs 61.24% [SD, 7.57]; P = .485).
Table 2 presents the changes between baseline and post-test values in %SatO2, HR, degree of dyspnoea and degree of LL fatigue, mean percent intensity of exertion and walked distance. The %SatO2 values did not change between baseline and the end of the test. In the case of HR, there was greater elevation at the end of the test in girls compared to boys (135.39 bpm [SD, 21.32] vs 129.78 bpm [SD, 23.40]). When we assessed the intensity of exertion, we found statistically significant differences between male and female participants (61.12% [SD, 11.39] vs 64.21% [SD, 10.38], respectively; P = .049), with mean values around 60%. The baseline and final degree of dyspnoea and LL fatigue were greater in girls. The mean walked distance was 668.03 m in the total sample (SD, 87.36) (671.42 m in boys [SD, 92.21] and 664.22 m in girls [SD, 81.81]; P = .528). We found a statistically significant increase in the walked distance with increasing age (boys: mean of 600.46 m [SD, 51.79] at 6 years vs 758.10 m [SD, 83.18] at 12 years [P = .002]; girls: 570.11 m [SD, 34.82] at 6 years vs 766.33 m [SD, 5.68] at 12 years [P = .000]). We also found significant differences (P = .034) in the distance walked between those who engaged in physical activity in their free time (mean distance of 668.50 m; SD, 58.8) vs those who did not (617.60 m; SD, 61). Through the health questionnaire, we found that 85.1% of participants carried out some form of sports or physical activity in their free time between once and 3 times a week, while 7.2% did not engage in any such activity.
Physiological variables, exercise intensity, perceived dyspnoea, lower limb fatigue and walked distance in the overall sample and by sex.
| Variables | Total | Male | Female | 
|---|---|---|---|
| n = 236(mean ± SD) | n = 125(mean ± SD) | n = 111(mean ± SD) | |
| SatO2, baseline (%) | 97.82 ± 0.64 | 97.82 ± 0.51 | 97.81 ± 0.77 | 
| SatO2, final (%) | 97.82 ± 0.59 | 97.80 ± 0.52 | 97.84 ± 0.65 | 
| SatO2, final − baseline (%) | 0.00 ± 0.76 | −0.02 ± 0.70 | 0.03 ± 0.81 | 
| HR, baseline (bpm) | 96.59 ± 16.11 | 96.70 ± 17.44 | 96.47 ± 14.54 | 
| HR, final (bpm) | 131.89 ± 22.64 | 129.78 ± 23.40 | 135.39 ± 21.32 | 
| HR, final − baseline (bpm) | 35.30 ± 22.27 | 32.09 ± 22.22 | 38.92 ± 21.87 | 
| Intensity (%) | 62.58 ± 11.01 | 61.12 ± 11.39 | 64.21 ± 10.38 | 
| Dyspnoea, baseline (Borg) | 0.52 ± 0.83 | 0.45 ± 0.73 | 0.60 ± 0.93 | 
| Dyspnoea, final (Borg) | 3.01 ± 2.42 | 2.56 ± 2.13 | 3.53 ± 2.63 | 
| Dyspnoea, final − baseline (Borg) | 2.50 ± 2.34 | 2.11 ± 2.16 | 2.93 ± 2.46 | 
| LL fatigue, baseline (Borg) | 0.68 ± 0.98 | 0.58 ± 0.90 | 0.80 ± 1.05 | 
| LL fatigue, final (Borg) | 3.63 ± 2.45 | 3.26 ± 2.49 | 4.05 ± 2.35 | 
| LL fatigue, final − baseline (Borg) | 2.95 ± 2.26 | 2.68 ± 2.31 | 3.25 ± 2.16 | 
| 6MWT distance (m) | 668.03 ± 87.36 | 671.42 ± 92.21 | 664.22 ± 81.81 | 
bpm, beats per minute; HR, heart rate; LL, lower limb; SatO2, oxygen saturation; SD, standard deviation.
We used the Spearman correlation test to analyse the association between the walked distance and the different anthropometric and physiological variables by sex. We considered there was an association for r values starting at 0.4 (moderate correlation), and that the correlation was strong from 0.6 and very strong from 0.8. The parameters that showed the strongest correlation were age (r = 0.704), height in cm (r = 0.646), LL length (r = 0.614), difference between final and baseline HR (r = 0.525) and intensity of exertion during the test (r = 0.488). We found no correlation with weight in either the total sample or the male participants (r = 0.397 y r = 0.377, respectively) but found one for female participants (r = 0.423), with a P value of less than 0.05 in the three groups. The correlation with the BMI was low in the total sample and in both sexes (overall sample r = 0.088; boys r = 0.090; girls r = 0.083), with a P value greater than 0.05 in all groups.
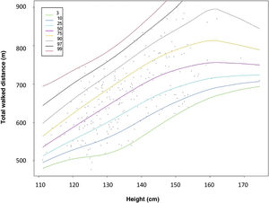
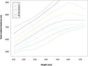
We fitted a multivariate logistic regression model to obtain predictive equations for the 6MWT results in healthy Caucasian children aged 6–12 years. To do so, we analysed the correlation between the walked distance and the different anthropometric and physiological variables (age, weight, height, BMI, RLLL, %SatO2, HR, exertion intensity, perceived degree of dyspnoea and LL fatigue). We included those with a P value of less than 0.05, which were age, specifying the age groups (except for the group aged >6 to ≤8 years, for which there were no valid results), height in cm and difference between final and baseline HR. Table 3 presents the resulting equations for boys and girls. Figs. 1 and 2 show the percentile charts for either sex based on height and 6MWT distance.
Reference equations for the 6MWT for male and female subjects.
| Reference equations for the 6MWT for male and female subjects | |
|---|---|
| M | 353.31 + (50.48 × AgeA) + (80.50 × AgeB) + (63.05 × AgeC) + (1.22 × final-baseline ΔHR ) + (1.73 × height in cm) | 
| F | 410.92 + (34.18 × AgeA) + (66.82 × AgeB) + (95.46 × AgeC) + (1.14 × final-baseline ΔHR ) + (1.28 × height in cm) | 
AgeA (value of 1 for age 9–10 years and 0 for the rest); AgeB (value of 1 for age 11–12 years and 0 for the rest); AgeC (value of 1 for age > 12 years and 0 for the rest); F, female; HR, heart rate; M, male; 6MWT, 6-minute walk test.
To determine whether weight and BMI had an impact on results, we performed a second descriptive analysis of all variables in participants with obesity(BMI above 95th percentile [P95]; n = 45) compared to participants without obesity (BMI ≤ P95; n = 191) (Table 4), evincing statistically significant differences in height (mean at 71.96 percentile [SD, 24.73] in obese vs 48.27 percentile [SD, 30.52] in non-obese participants), baseline HR (103.73 bpm [SD, 17.37] in obese vs 94.91 bmp [SD, 15.37] in non-obese participants), final HR (140.47 bpm [SD, 18.20] in obese vs 129.87 bmp [SD, 23.15] in non-obese participants) and 6MWT distance (637.62 m [SD, 76.48] in obese vs 675.20 m [SD, 88.40] in non-obese participants). However, in the multivariate linear regression model, the variables that maintained a statistically significant correlation were the same as those found in the total sample (age, height and change in HR), so the reference equation ended up being the same for both sexes and the total sample.
Comparison of certain variables in the group of patients with and without obesity and statistical significance of the association.
| Variables | Obese | Non-obese | P | 
|---|---|---|---|
| n = 45(mean ± SD) | n = 191(mean ± SD) | ||
| Age (years) | 9.18 ± 1.76 | 9.03 ± 1.80 | .6 | 
| Height (percentile) | 71.96 ± 24.73 | 48.27 ± 30.52 | <.001 | 
| RLLL | 56.72 ± 1.87 | 56.68 ± 1.42 | .9 | 
| HR, baseline (bpm) | 103.73 ± 17.37 | 94.91 ± 15.37 | .003 | 
| HR, final (bpm) | 140.47 ± 18.20 | 129.87 ± 23.15 | .001 | 
| HR, final − baseline (bpm) | 36.73 ± 20.84 | 34.96 ± 22.64 | .6 | 
| Dyspnoea, baseline (Borg) | 0.63 ± 0.79 | 0.49 ± 0.84 | .13 | 
| Dyspnoea, final (Borg) | 2.80 ± 2.43 | 3.07 ± 2.42 | .5 | 
| Dyspnoea, final − baseline (Borg) | 2.17 ± 2.40 | 2.57 ± 2.33 | .2 | 
| LL fatigue, baseline (Borg) | 0.92 ± 1.18 | 0.63 ± 0.92 | .13 | 
| LL fatigue, final (Borg) | 3.79 ± 2.33 | 3.59 ± 2.48 | .6 | 
| LL fatigue, final − baseline (Borg) | 2.87 ± 2.16 | 2.97 ± 2.28 | > .9 | 
| 6MWT distance (m) | 637.62 ± 76.48 | 675.20 ± 88.40 | .005 | 
bpm, beats per minute; HR, heart rate; LL, lower limb; RLLL, relative lower limb length; SD, standard deviation.
The 6MWT assesses the exercise capacity of the individual and allows assessment of the response to a given therapeutic intervention in patients with cardiorespiratory disease.1–4 In this sense, it is useful to assess the outcomes of pulmonary rehabilitation, different pharmacological treatments and the condition of patients before and after pulmonary or cardiac surgery.19 It is also used to assess the indication and for titration of oxygen therapy delivered at home or during exercise, as results correlate to the perceived improvement in dyspnoea after implementation of therapeutic measures.19
In the 6MWT, the primary outcome is the distance in metres walked in the 6 min the test lasts, and different reference equations have been developed for this purpose in the healthy adult20–22 and paediatric6–14 populations, with substantial heterogeneity among them. The differences can be attributed, among other reasons, to anthropometric factors characteristic of each race (lesser and greater LL length), nutritional status, regular physical activity or hypoxia in populations living at high altitudes.19 Selecting one equation over another may introduce bias in the interpretation of results, so comparing normal values in the population under study to the reference values in the source population is recommended. In Spain, several articles and other works have been published reviewing the 6MWT protocol and its usefulness in different diseases,1,23 highlighting the monitoring of the course of disease in certain conditions and the assessment of the effectiveness of implemented therapeutic interventions.24 Another prospective study published in 2017 was conducted in children and adults with cystic fibrosis that underwent the 6MWT to assess whether the test results could be used to predict respiratory outcomes.25 The only work published in Spain that established reference values for the 6MWT in children corresponded to the SEMIMAP study of 2010, where the results were compared to those obtained in children with respiratory diseases.26
In the study presented here, based on data from a sample of healthy Caucasian children aged 6–12 years recruited from several schools in the city of Zaragoza, Spain, we generated reference values for the distance walked in the 6MWT (in metres) for both sexes, as well as percentile charts of the 6MWT distance adjusted for height, as this was the variable that had the strongest impact on the results.6,26 To calculate the necessary sample size, we consulted the records available at the Instituto Nacional de Estadística (National Institute of Statistics) as of January 1, 2019, according to which there were a total of 69 164 children aged 6–12 years in the province of Zaragoza.27 Based on this, we estimated that a sample of approximately 382 children would be needed for a 95% confidence level and a maximum margin of error of 5%. We also took into account the criteria of other authors, such as Pellegrino et al.,28 who propose that a minimum sample of 100 individuals is required to ensure that there are no significant differences between the reference equation and the population distribution. In the different sources in the literature, the sample size varied widely (between 100 and nearly 6000 participants),6–14 and the age ranges varied between 3 and 18 years, although most studies were conducted within similar age ranges to the one in our study.
The 6MWT, being a submaximal exercise test, does not require performance of extreme exertion overloading the cardiorespiratory system with substantial variations in the HR and/or %SatO2, although the latter is useful to reliably measure the exercise capacity of the subject without reaching the anaerobic threshold.19 As regards the changes in physiological variables at the end of the test in our study, we found an increase in HR of approximately 60 bpm, which was slightly greater in female participants, and barely any changes in %SatO2. The mean exercise intensity in the total sample, in both sexes, was 60%, which is an adequate level in terms of what is required for the 6MWT (moderate intensity in the range of 50%-60% of the maximal HR).29,30 The subjective perception of dyspnoea and of muscle fatigue, based on the Borg scale, increased by 3–5 points for both variables, findings that were similar to the previous literature.6,8,10,12
When we assessed the correlation between the distance walked in the test and anthropometric and physiological variables, we found that age, height in cm, LL length, the difference between the final and baseline HR and the exercise intensity during the test were most strongly correlated, with P values of less than 0.05.
In a study conducted by Li et al.,6 the correlation was strongest with the age, height, final HR and change in HR; in the study by Limsuwan et al.,9 they were height, LL length, final HR, change in HR and O2 consumption, and in the one by Oliveira et al.11 they were age, weight, height and LL length. Weight also was associated with the results in our sample, as the participants with obesity (defined as BMI > P95) walked shorter distances compared to those without obesity, a difference that was statistically significant.
To develop the reference equations (Table 3) we selected those independent variables (anthropometric and physiological) with statistically significant P values for the association with the walked distance (dependent variable) in the multivariate logistic regression analysis, which turned out to be the age, height in cm and difference between the final and baseline HR. These variables are the variables featured most frequently in the various equations published in the previous literature.6–14 Lower limb length, a variable included by other authors,9,11 could be useful in patients in whom it is not possible to determine the stature accurately or the height is not in the normal range for age, as can be the case of individuals with certain chronic diseases or skeletal disorders, such as kyphoscoliosis.9 Lastly, we generated percentile charts (Figs. 1 and 2) of the 6MWT distance for height (in cm) because the latter variable was the one with the strongest impact on the test result.6–14
ConclusionThis study contributes reference values and percentile charts for the results of the 6MWT in healthy Caucasian children aged 6–12 years in the city of Zaragoza, Spain. These data can be applied to paediatric patients with cardiorespiratory diseases in the same age range and from the same population, taking into account that age, height, regular physical activity and obesity can affect the results.
FundingThis research did not receive any external funding.
Conflicts of interestThe authors have no conflicts of interest to declare.
 
										
				











