Introducción
La gestión es, cada vez en mayor medida, una competencia que deben asumir los médicos. Y ello es lógico porque el médico es el mejor conocedor de la necesidad real de recursos para ejercer su trabajo y, al mismo tiempo, la persona más influyente en que estos recursos sean bien o mal aprovechados.
La necesidad de conseguir la eficiencia en nuestro trabajo y garantizar una asistencia buena o excelente condiciona la toma de decisiones a la hora de planificar y organizar el trabajo en los servicios hospitalarios1-3.
Las urgencias en general, y las urgencias pediátricas en particular, se han convertido en un hábito social, y están sometidas a una demanda creciente e incontrolable, que obliga a modificar y adecuar nuestra oferta4-7.
Estas son las razones por las que, en las unidades de urgencias pediátricas, se han ido creando, en estos últimos años, unidades de observación o de estancia corta8,9. Los objetivos que se pretende con ello son10,11:
1.Permitir la vigilancia de niños, a menudo de corta edad, con síntomas de pocas horas de duración, con un diagnóstico inicial sindrómico, y cuya evolución es difícilmente previsible.
2.Seleccionar, en la medida de lo posible, la hospitalización en planta, disminuyendo el porcentaje de ingresos de baja complejidad, y aumentando el case mix del servicio.
3.En último lugar, proporcionar una mejor asistencia a un menor coste.
El objetivo primario de este trabajo es describir la actividad de la unidad de observación durante los primeros 2 años de actividad y, el secundario, analizar su impacto sobre la hospitalización en planta.
Material y métodos
Nuestro centro de trabajo es un hospital terciario, centro de referencia en pediatría, que abarca una población con 85.000 habitantes en edad pediátrica. En él se encuentra la Sección de Urgencias Pediátricas, que dispone de tres salas de exploración y una de reanimación. Aquí son atendidas todas las urgencias en niños menores de 15 años, exceptuando los traumatismos en extremidades, que se derivan al servicio de traumatología.
Desde el mes de junio de 2001, en el área de urgencias pediátricas se dispone de una unidad de observación, que está dotada con cuatro camas y un aseo y ocupa una superficie de 30 m2. La estancia máxima en esta unidad es de 24 h, durante las cuales los pacientes son supervisados por el médico adjunto de urgencias.
Este trabajo consta de dos partes bien diferenciadas:
1.Un estudio prospectivo de la Unidad de Observación durante los primeros 2 años de actividad (período comprendido entre junio de 2000 y mayo de 2002), incluyendo todos los niños ingresados en dicha unidad. Los casos se incluyen en el estudio en el momento del alta de la unidad de observación (ya sea al domicilio o a la hospitalización en planta), mediante la cumplimentación de un protocolo de recogida de datos por parte del médico adjunto de urgencias que ha atendido al paciente. Este protocolo incluye las siguientes variables: edad, fecha de ingreso, hora de ingreso y hora de alta, tiempo de estancia en la unidad, diagnóstico al alta, pruebas complementarias, tratamiento y destino al alta. Los diagnósticos se codifican siguiendo las recomendaciones del Grupo de Trabajo de Codificación Diagnóstica de la Sociedad Española de Urgencias de Pediatría12,13.
2.Una parte analítica que compara la actividad hospitalaria en planta durante los 5 primeros meses de su implantación frente al mismo período de tiempo del año anterior, cuando no existía esta unidad. Para ello se utiliza el sistema de clasificación de pacientes hospitalizados en grupos relacionados con el diagnóstico (GRD). En nuestro hospital existe un equipo formado por un médico y tres técnicos que, analizando informes de alta, codifica los datos de los pacientes. Posteriormente, un especialista en epidemiología clínica asigna los GRD, y los incluye en la base de datos de hospitalización. Partiendo de ella, en este trabajo se realiza un estudio retrospectivo de los niños ingresados en hospitalización en planta de pediatría durante dos períodos de tiempo: de junio a octubre de 2000 y de junio a octubre de 2001. Se recogen las siguientes variables: número de ingresos mensuales y GRD y peso de cada paciente ingresado.
Se analizan los datos mediante el programa estadístico SPSS para Windows versión 11.5. Se realiza un estudio descriptivo de las variables y un estudio analítico utilizando la chi al cuadrado (x2) para la comparación de proporciones y el test de la t de Student para datos independientes en la comparación de medias. Se considera como nivel de significación estadística un valor de p < 0,05.
Descripción del sistema de clasificación de pacientes: grupos relacionados con el diagnóstico
Los GRD son un sistema de clasificación de pacientes en grupos equivalentes en cuanto a diagnóstico y consumo de recursos14. Los pacientes se agrupan en diagnósticos clínicamente identificables, y dentro de un mismo GRD se incluyen aquellos que consumen una cantidad similar de recursos.
El proceso básico de asignación a un GRD sigue esta secuencia: cuando a un paciente, tras recibir el alta médica, se le asocia un diagnóstico principal, se le asigna a una categoría diagnóstica mayor (CDM) de las disponibles en la versión. Ese diagnóstico, por lo tanto, condiciona todo el proceso de evaluación. Posteriormente, se identifican los procedimientos quirúrgicos que hayan tenido lugar en el proceso diagnóstico, creándose así un grupo médico y otro quirúrgico. Los episodios médicos se clasifican según patologías específicas del sistema correspondiente y los quirúrgicos basándose en las intervenciones quirúrgicas realizadas en el proceso diagnóstico. Estos grupos resultantes pueden constituir GRD finales o subdividirse, según variables como la edad, circunstancias del alta y la aparición o no de complicaciones relevantes. Periódicamente se revisan los recursos disponibles, las mejoras demostradas y las novedades tecnológicas para actualizar el sistema, elaborándose una versión anual, que se corresponde con la actualización de la Clasificación Internacional de Enfermedades (CIE), en el caso de disponerse de ella.
A cada GRD le corresponde un valor en peso, que está relacionado con el coste económico de hospitalización, y que equivale a la moneda de cambio en la que se realizan las mediciones en el ámbito de la gestión hospitalaria. El peso total es un indicador del coste total de los pacientes ingresados en el hospital. El peso medio mide la complejidad y el coste medio de los ingresos.
Una vez obtenidos los datos, es posible establecer comparaciones con otros patrones para conocer la tendencia en gestión clínica. Éstas pueden establecerse bien con períodos anteriores del mismo hospital o con un patrón de oro. Sin embargo, no existe un patrón único, por lo que las comparaciones se realizan con hospitales de nuestro entorno.
Los GRD no son el único sistema de clasificación de pacientes, pues existen otros, entre los que destacan el Patient Management Categories, el Disease Staging y los GRD refinados15.
Resultados
En el período de tiempo desde el 1 de junio de 2001 al 31 de mayo de 2003 se atendieron en nuestro servicio 74.989 urgencias, de las cuales 2.438 (el 3,25 %) fueron valoradas en la unidad de observación. La edad media de los pacientes fue de 64,55 meses (desviación estándar [DE], 52,13), correspondiendo los menores de 3 años al 40,8 % (fig. 1). En cuanto a la distribución anual de los ingresos, hay un predominio claro en los meses de invierno, siendo el mes de enero el más concurrido con un total de 238 niños. Las horas en las que se realiza el ingreso varían de manera considerable, presentando un pico a las 13:00 y a las 23:00 h, mientras que las horas de alta más frecuentes son las 10:00 y las 23:00 h. Respecto a su duración (fig. 2), siempre inferior a las 24 h, la estancia media se sitúa en las 5 h y 50 min (DE, 4:20), siendo de 5 h y 16 min en el primer año de actividad, y de 6 h y 17 min en el segundo (p < 0,001). Los diagnósticos al alta más frecuentes correspondieron a causas digestivas (incluyendo vómitos, diarrea, apendicitis) con el 30,2 %, accidentes (traumatismo craneal/contusión craneal, intoxicaciones y contusiones múltiples) con el 15,3 %, cuadros que pueden producir insuficiencia respiratoria (asma, bronquiolitis, laringitis, neumonía, etc.) con 12,5 %, procesos neurológicos (convulsión febril, convulsión, cefalea y migraña) el 10 % y síndrome febril (9,8 %) (tabla 1). A los pacientes ingresados se les solicitaron diversas pruebas complementarias como analítica de sangre (69 %), analítica de orina (27 %), radiografías (34,8 %) o ecografía (7 %). El tratamiento pautado con mayor frecuencia fue la fluidoterapia por vía intravenosa (41,3 %), seguida de los antitérmicos (31 %), la rehidratación con suero oral (29,3 %) y la medicación inhalada (11,6 %), principalmente salbutamol y adrenalina. El destino final fue el domicilio (74,5 %), ingreso en planta (25,3 %) y una muerte (0,2 %).
Figura 1.Edad de los pacientes ingresados en la unidad de observación.
Figura 2.Horas de ingreso de los pacientes en la unidad de observación.
En cuanto al análisis comparativo de la hospitalización en planta antes y después de la apertura de la unidad, en el período comprendido entre los meses de junio y octubre de 2000 (ambos incluidos) se atendieron un total de 13.435 urgencias pediátricas, de las cuales 788 precisaron ingreso en el servicio de pediatría, lo que representa el 5,8 % sobre el total. En el mismo período del año 2001 se atendieron un total de 13.709 urgencias, con 546 ingresos, el 4,28 % del total (p < 0,001). Un descenso que se distribuye homogéneamente a lo largo del período de tiempo estudiado (fig. 3).
Figura 3. Número de ingresos en planta de hospitalización en el año 2000 respecto al 2001 (tras la unidad de observación).
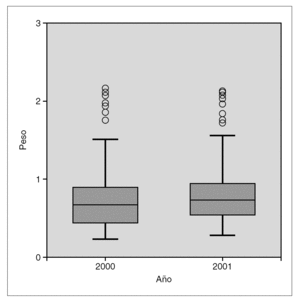
En el año 2000 el peso medio de los pacientes hospitalizados en planta fue de 0,8648, mientras que en el mismo período del año 2001 fue de 0,9078, siendo esta diferencia altamente significativa (p < 0,001) (fig. 4).
Figura 4.Peso medio de los ingresos en planta de hospitalización en el año 2000 respecto al 2001 (tras la unidad de observación).
Al analizar los dos períodos se observa que el peso total de los pacientes ingresados en hospitalización en planta durante el año 2000 fue de 680,66 y en 2001 de 495,69, una diferencia que supone un ahorro estimado de 329.162 1 (54.858.138 ptas.) en los primeros 5 meses de actividad de la unidad de observación.
Discusión
La actividad de las urgencias pediátricas en nuestro hospital ha variado de manera considerable ateniéndonos a los datos expuestos en este trabajo. De todos los pacientes que acuden a este servicio, un porcentaje no desdeñable fue atendido en la unidad de observación, lo cual expresa con más claridad la importancia que ha adquirido en nuestra actividad diaria.
Los ingresos más frecuentes en esa unidad son los menores de 3 años, aquellos cuyos síntomas son más inespecíficos y presentan una patología más variada y prevalente8. Las horas de ingreso coinciden con las horas de mayor afluencia al servicio de urgencias pediátricas. La estancia media en la unidad es llamativamente menor que la documentada por otros hospitales de características similares16,17, lo cual podría estar relacionado con la corta experiencia de los especialistas que hacen uso de la unidad y por el hecho de que la estancia esté limitada a una duración de 24 h; no obstante, otros autores han documentado una estancia media parecida8,18. De hecho, al comparar los datos correspondientes a los períodos de distinto año, se comprueba que la estancia media se ha incrementado de manera significativa, probablemente respecto a una mayor experiencia en el uso de esta unidad. El destino final de un elevado porcentaje de pacientes atendidos es el domicilio, como sucede en otras series de la literatura8,16.
El funcionamiento de esta unidad contribuye a una mejor atención al paciente y disminuye la presión ejercida sobre los facultativos, puesto que permite afinar el diagnóstico y comprobar la evolución del cuadro, que, en ningún caso supera las 24 h8,11. Algunos autores19 evalúan cuál hubiera sido el destino del paciente ingresado en observación en ausencia de la unidad, resultando que el 77 % de ellos habría ingresado en hospitalización, mientras que sólo el 10 % serían enviados a su domicilio, dato que apoya nuestra hipótesis sobre su utilidad.
En lo que respecta a la influencia de la unidad en la hospitalización en planta, este trabajo presenta las limitaciones derivadas de su carácter retrospectivo. No se han analizado factores como las características y gravedad de las urgencias en los diferentes períodos de tiempo, por lo que, aunque sospechamos que las modificaciones de la hospitalización en planta son debidas a la instauración de la unidad, existen otros factores que pueden influir en los cambios observados.
Destacan las siguientes conclusiones:
1.Un cambio en el número de pacientes ingresados en hospitalización en planta: el porcentaje sobre los ingresos totales en 2000 fue de 5,80 %, frente al 4,28 % en el mismo período de 2001. Esto supone una mejora de la atención que se presta en el servicio de urgencias de pediatría, teniendo en cuenta que el Grupo de Trabajo de Calidad de la Sociedad Española de Urgencias de Pediatría considera un indicador básico de calidad una tasa de hospitalización global o porcentaje de ingresos en planta menor del 5 %. Se considera que sólo debe ingresar un niño si por sus características no puede ser manejado en su domicilio8,9,20,21.
2.Un cambio en las características de los niños hospitalizados en planta. Las diferentes patologías ingresadas se evalúan mediante el cálculo de su peso específico, como se ha explicado antes, permitiendo la comparación entre los pacientes que son dirigidos a hospitalización en los diferentes períodos. Se ha producido un aumento significativo del peso medio de los pacientes hospitalizados en planta. Esta modificación debe interpretarse como una mayor complejidad y un mayor coste individual de los pacientes ingresados tras la instauración de la unidad14.
3.El peso total de los pacientes hospitalizados en planta disminuye. La explicación radica en que, a pesar de que el peso de cada paciente es mayor, el número de pacientes hospitalizados en planta ha disminuido, lo que da lugar al descenso del peso total y se traduce en una disminución del gasto.
Todo ello nos da idea del profundo cambio que ha supuesto la implantación de la unidad de observación en la eficiencia del servicio de urgencias pediátricas, que se resume en una disminución de la tasa de hospitalización global, mayor complejidad de los pacientes hospitalizados en planta y una disminución del gasto.


